现如今,各个摄像机及相机厂商纷纷推出了 Log 模式拍摄视频的功能,灰蒙蒙(低对比度、低饱和度)色调的原片成为了主流。Log 模式的原片也进入了小成本视频制作团队的视线,大部分都是套一个原厂 Log 转 Rec.709 的 LUT 了事,其实 Log 模式还有更多调色空间。让我们一起来解析一下各个厂商的 Log 标准,阐述一下 Log 的前世今生。
1、胶片时代的 Log
log 格式最早可以追溯到胶片时代。是由 Hurter 和 Driffield 在1890年发明的基于光密度法的胶片成像原理,当时的曲线名就叫 D&H 曲线,它绘制了曝光量(E)在横轴上的对数分布,而光密度的变化量在纵轴上表达。曲线为非线性曲线,曲线特征为 Log 函数,所以也称 LogE 曲线。之所以使用 Log 函数,是因为 Log 函数符合人眼的识别光线明暗的能力:

 
上图为不同光下值人眼识别中灰(视觉 50% 灰=亮度 18% 灰)的点,可以看出来并不是按线性分布的,Log 函数就是为了拟合人眼识别的规律来储存相机记录的数据的,可以记录更多的明暗信息,拥有更高的宽容度。
柯达也有一套 Cineon 胶片扫描系统,将胶片上的物理信息以 Log 函数形式转换为数字信息。转换后的图像,拥有更宽广的高光、阴影以及色域范围。所以这种图像在普通显示器上呈现出低对比度、低饱和度的特征。
2、数码时代的 Log
现在各数字摄影机厂商, 都将Log函数曲线的记录方式应用在了各自的摄影机之中。 由于各个品牌的技术差异, 其拍摄视频的Log函数曲线、色域范围都不尽相同。
2.1 Arri阿莱 Alexa
Arri的Log叫 LogC ,有近百年胶片研究历史的Arri出的LogC颇受电影摄影师的欢迎。

 
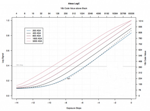
上图为 LogC 在不同曝光条件下的记录范围,18% 中灰的值为400。从图中可以看出 LogC 拥有14档曝光,这意味着 LogC 可以记录更多的高光信息而不会导致数据溢出,画面也会变得对比度更低。

 
图:Arri Log对比图
2.2 Sony 索尼 阿尔法系列
索尼大法的 Log 模式比较特别,高端微单中提供了从 PP1 - PP9 9种预设,分别从Gamma曲线(电影、照片、ITU709、ITU709 [800%]、Cine1-2、 S-Log2、S-log3【A7SII】)、色彩模式和色域范围来控制最终成像的方式。值得一提的是,索尼似乎把 Log 函数曲线归入 Gamma 曲线的范畴,Gamma 曲线为指数函数,和对数函数 Log 并不能相互转换,下边来简单说一下各个预设的区别吧。
PP1-PP6 是不使用索尼的 Log 模式拍摄的,色彩空间在 Rec.709,也就是普通显示器的色彩空间,拍出来的视频在显示器上播放显示为正常的颜色,不会出现饱和度以及对比度下降的情况,不过记录的视频会在高光和阴影上有所缺失。PP1-PP6 的差别在于 Gamma 曲线的使用,不同设置会在阴影和高光上有所区别。
PP7 使用的是 S-Log2 曲线,PP8-9 使用的是 S-Log3 曲线。上文提过 Log 曲线拥有更宽广的动态范围,下面重点说一下这两种曲线:

 
图:S-Log2、S-Log3 曲线
上图为 S-Log3 与 S-Log2 的对比,可以看出 S-Log3 拥有比S-Log2 更多的阴影和高光的动态范围,中灰也更亮,曲线更接近于 Arri 的 LogC 曲线。在光比很大的拍摄环境中,也推荐使用PP7-9 模式,如果想保留更多的亮部细节使用 S-Log2 的 PP7 模式,想保留更多的暗部细节可以使用 S-Log3 的 PP8-9 模式。

 
图:Sony S-Log 对比图
2.3 Canon 佳能 EOS C 系列
佳能的Log称为Canon Log,分为三代。表现更暗部区域细节的10bit/12bit Log:Canon Log 3 与Canon Log 2、Canon Log 同为以后期处理流程为前提的伽马设置。与 Canon Log 相比,在保留更暗部区域细节及 18% 附近特性的同时,具有更大的动态范围 (相当于 1600% / 14-STOP),在更宽广的 LOG 空间内实现均等输出。
Canon Log 2 的特点是在调色中改善画质,因此与 Canon Log 相比,暗部色调过渡更自然。然而,有些场景会产生明显的噪点,需做降噪处理或在后期制作中调整更暗部区域。针对这一点,Canon Log 3 对暗部表现加以改善,采用可调整过渡变化的简易调色伽马,使噪点不易产生,既保留了 Canon Log 的易用性,同时实现了动态范围的拓宽。
与 Canon Log 2 相同,选择 Canon Log 3 后,ISO在 100~800 下,动态范围可达 200%~1600%,在 ISO800 以上则可升至 1600%。(Canon Log 3 相当于14档范围)

 
图:Canon Log 曲线对比图
上图为佳能三代Log动态范围的对比,可以看出佳能的Log更重视暗部的细节。值得一提的是,此处加入了Rec.709的对比,可见Rec.709 的动态范围之窄,大家可以记住 Rec.709 的大致,并带入其他的 Log 曲线中比较。

 
图:Canon Log 系列对比图
2.4 Panasonic GH 系列
松下的GH系列也拥有自家的 Log 标准,称为 V-Log。下图为 V-Log 曲线,x 轴为曝光量,y 轴为 10 位输出值,18% 中灰的值为433,V-Log 拥有 16 档的曝光范围,暗部和亮部的细节较为均衡。

 
图:Panasonic V-Log 对比图
除此之外,松下还有自家的色域标准 V-Gamut。V-Gamut 的白点值和 D65 相同,V-Gamut支持的颜色也会更多,红绿蓝白参数分别为:
R:0.730, 0.280
G:0.165, 0.840
B:0.100, -0.030
White:0.3127, 0.3290
一般来说相机是没有自己的色彩空间的,因为相机传感器能接收到所有的红绿蓝的值并记录,只是在支持的色域空间显示的效果不同而已。
2.5 FujiFilm 富士数码系列
富士作为胶片老厂,涉足数码市场,当然也要推出自己的 Log:F-Log。F-Log 的 18% 中灰值为 470 比 V-Log 略高,拥有14档的曝光范围,在暗部的表现要略好一些。

 
图:FujiFilm F-Log 对比图
富士也推出了自己的色彩空间,F-Log-Gamut。该颜色空间的白点依旧和 D65 相同。红绿蓝白参数分别为:
R:0.70800, 0.29200
G:0.17000, 0.79700
B:0.13100, 0.04600
White:0.31270, 0.32900
可以看出该色域的红黄蓝三个点均在可视范围内。
2.6 Nikon 尼康 D 系列
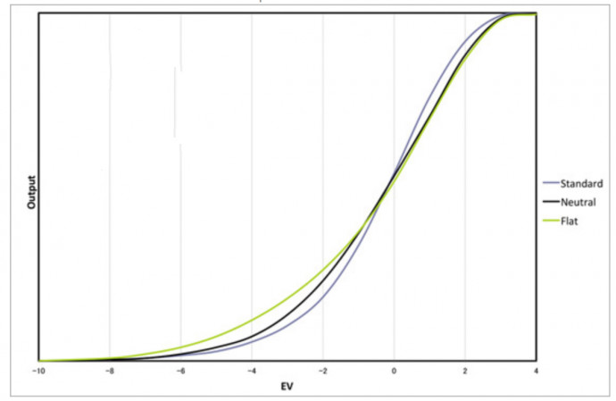
尼康也有类似于 Log 的函数,不过在尼康系统里称为 Flat,在 Nikon D810 以及以后的机型会支持这种格式,上一下曲线图:

 
图:尼康 Flat 曲线
从图中可以看出,尼康的 Flat 模式的曝光范围要比其他厂商的窄,所以拍出的图像也不会灰得很厉害。

 
3、总结
各个厂商不同的 Log 格式,无疑给了大家新增了很多门槛,希望以后出一个统一的 Log 标准,来避免这一错乱的感觉。再次推荐 LutCalc 软件,可以生成对应自己相机 Log 模式的 LUT,这是一个被各种 Log 逼疯的程序员制作的。
在使用 Log 模式拍摄的时候,由于在监视器中看到的是低饱和度和低对比度的图像。可能无法立即看到所需要的打光效果,这时建议在监视器上套用相应相机对应到 Rec.709 的 LUT,这样就可以做到正确曝光,方便后期的调色。
声明:以上图文整理自互联网,版权归原作者所有,如有侵权请立即与我们联系,我们将及时处理。
用户评论(共0条评论)